Efeito visão-de-cerveja
Cientistas encontraram uma formula para calcular o quanto a visão é influenciada pelo consumo de cerveja
O efeito embelezador que algumas cervejas proporcionam às pessoas já é bem conhecido: tornam mulheres e homens mais atraentes (até o dia seguinte). Mas, a quantidade de bebida ingerida não é o único fator. Segundo cientistas da Manchester University (2010), algumas variáveis também influenciam a visão, como a luz no bar ou boate, a visibilidade que o bebedor tem do local, a quantidade de fumaça existente no ambiente e a distância entre as pessoas que se observam.
Todas essas idéias podem ser introduzidas em uma única equação para determinar o efeito sobre a atração entre os consumidores da bebida. Cálculo curioso. A fórmula fornece um resultado, variando de menos um – no qual não existe o 'efeito cerveja' – até mais de 100. Pessoas sem nenhum atrativo físico tornam-se belas quando o valor da fórmula está entre 51 e 100. Em mais de 100, os(as) feios(as) ficam parecendo supermodelos. A pesquisa foi apoiada pela empresa de oftalmologia Bausch & Lomb PureVision.
Nathan Efron, professor de Optometria Clínica da Universidade de Manchester, explica (com exemplo) que “alguém com visão normal, que consumiu cinco copos de cerveja e vê uma pessoa a 1,5 metro de distância, em um ambiente bastante esfumaçado e mal iluminado, vai marcar 55, o que significa que eles sofreram um efeito moderado da visão de cerveja.
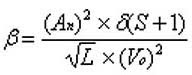
Este estudo deu continuidade a outro, realizado em 2002, com 80 alunos escoceses da Universidade de Glasgow, quando ficou evidente que os bebedores de cerveja ou de vinho tinham uma visão diferente das pessoas, vendo-as mais bonitas quando estavam sob os efeitos do álcool.Eis a fórmula:An = número de unidade de álcool consumidas
dS = fumaça no local (variando de 0 a 10, sendo 0 para totalmente limpo e 10 para repleto de fumaça)
L = luminosidade sobre o alvo (pessoa) de interesse (medido em candelas por metro quadrado, sendo 1 para completamente escuro e 150 para luz natural)
Vo = acuidade visual (Snellen) (sendo 6/6 para normal)
d = distância da pessoa que interessa (em metros, de 0,5 a 3 metros).
O professor Barry Jones, coordenador da pesquisa, explicou que a visão de cerveja é um fenômeno causado pelo álcool estimulando a parte do cérebro humano usada para determinar a beleza facial, o núcleo accumbens. Por isso, qualquer pessoa pode olhar para a figura (ao lado) e achar essa mulher linda, depois de alguns copos de cerveja ou de vinho.
Jones, cujos estudos anteriores já haviam mostrado que um consumo moderado de álcool pode aumentar o risco de ter relações sexuais desprotegidas, apresentou suas conclusões no Congresso Internacional de Medicina Comportamental, da Finlândia, em 2002. ~! [+] !~



















